Silabus Prakarya Kelas 8. Menghargai dan menghayati ajaran agama yang dianutnya 2. Jadi saya berharap bagi bapak/ibu guru di harapkan dapat selalu di revisi sesuai dengan acuan revisi kurikulum 2013 yang berlaku sehingga dapat sesuai dengan harapan pendidikan saat ini. Semoga dengan adanya silabus ini bisa membantu bapak dan ibu guru di seluruh negara republik inddonesia. Terakhir proses penilaian, mengenai bagaimana mengukur keberhasilan belajar siswa. Silabus prakarya kelas 8 semester 1 dan 2 tahun pelajaran 2018/2019 july 24, 2018 13 comments perangkat kbm. Silabus mata pelajaran prakarya (budidaya) smp kelas 8.docx. Smp kelas / semester : Rpp dan silabus prakarya kelas 8 kurikulum 2013. Silabus mata pelajaran prakarya (rekayasa) satuan pendidikan : Program tahunan (prota) prakarya smp kelas 8. Smp kelas / semester : Download silabus dan rpp prakarya kelas 7 8 9 smp kurikulum 2013 amongguru.com. Menghargai dan menghayati ajaran agama yang dianutnya 2. 2.silabus prakarya rekayasa smp kls 8 terbaru. Menghargai dan menghayati perilaku jujur, disiplin, tanggungjawab, peduli (toleransi, gotong royong), santun, percaya diri, dalam berinteraksi secara efektif.

1 silabusprakaryakerajinansmpkls8dw
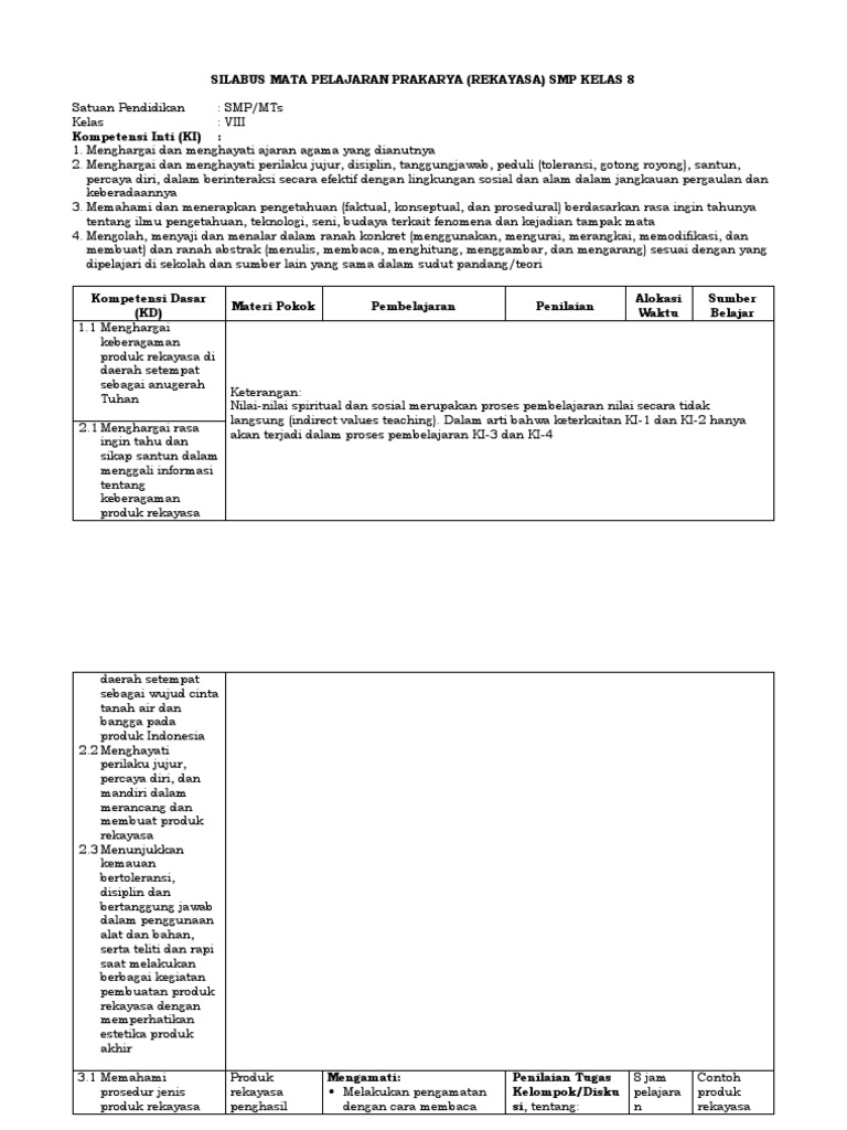
1 silabusprakaryakerajinansmpkls8dw from www.slideshare.net

Mata pelajaran prakarya dan kewirausahaan terdiri atas empat aspek yaitu kerajinan, rekayasa, budidaya dan pengolahan yang diarahkan pada pengembangan produk dalam bentuk dami dengan menggunakan teknologi tepat guna skala home industry dengan wawasan kewirausahaan agar dapat mandiri secara. Unknown august 13, 2017 at 6:39 am. Silabus mata pelajaran prakarya (kerajinan) satuan pendidikan : Smp kelas / semester : Rpp silabus kelas 8 prakarya if you’re searching for rpp silabus kelas 8 prakarya pictures information connected with to the rpp silabus kelas 8 prakarya keyword, you have come to the ideal blog. Silabus mata pelajaran prakarya (rekayasa) smp kelas 8. 1 silabus mata pelajaran prakarya (rekayasa) satuan pendidikan : Menghargai dan menghayati perilaku jujur, disiplin, tanggungjawab, peduli (toleransi, gotong royong), santun, percaya diri, dalam berinteraksi. Rpp sekolah penggerak versi 1 lembar. Smp kelas / semester :

Mata Pelajaran Prakarya Dan Kewirausahaan Terdiri Atas Empat Aspek Yaitu Kerajinan, Rekayasa, Budidaya Dan Pengolahan Yang Diarahkan Pada Pengembangan Produk Dalam Bentuk Dami Dengan Menggunakan Teknologi Tepat Guna Skala Home Industry Dengan Wawasan Kewirausahaan Agar Dapat Mandiri Secara.


Prakarya (budidaya) satuan pendidikan : Silabus prakarya kelas 8 berasal dari hasil tinjauan standar isi dan proses sesuai permendikbud. Bagi seorang guru penyusunan rpp prakarya kelas 8 adalah hal yang wajib dilakukan. Silabus prakarya kelas 8 semester 1 dan 2 tahun pelajaran 2018/2019 july 24, 2018 13 comments perangkat kbm. Silabus mata pelajaran prakarya (budidaya) smp kelas 8.docx. 1 silabus mata pelajaran prakarya (rekayasa) satuan pendidikan : Silabus mata pelajaran prakarya (rekayasa) satuan pendidikan : Silabus prakarya dan kewirausahaan kelas 7,8 dan 9 smp revisi 2017. Menghargai dan menghayati perilaku jujur, disiplin, tanggungjawab, peduli (toleransi, gotong royong), santun, percaya diri, dalam berinteraksi secara efektif.

Menghargai Dan Menghayati Perilaku Jujur, Disiplin, Tanggungjawab, Peduli (Toleransi, Gotong Royong), Santun, Percaya Diri, Dalam Berinteraksi.


Anda bisa mendownload filenya disini. 2.silabus prakarya rekayasa smp kls 8 terbaru. Smp / mts kelas / semester : Silabus mata pelajaran prakarya (budidaya) smp kelas 8.docx. Terakhir proses penilaian, mengenai bagaimana mengukur keberhasilan belajar siswa. Rpp dan silabus prakarya, ruang lingkup mata pelajaran prakarya untuk smp kelas viii meliputi empat aspek, yaitu kerajinan, rekayasa, budidaya, dan pengolahan. Kkm matematika kelas 8 semester 1 revisi 2021/2022. Menghargai dan menghayati ajaran agama yang dianutnya 2. Smp kelas / semester :

Program Tahunan (Prota) Prakarya Smp Kelas 8.


Smp kelas / semester : Selain itu juga ada kumpulan tiap kompetensi dasar yang harus siswa capai. Our site always gives you suggestions for seeking the highest quality video and image content, please kindly hunt and find more enlightening video articles and images that match. Menghargai dan menghayati ajaran agama yang dianutnya 2. Smp kelas / semester : Anda bisa mendownload filenya disini. Berdasarkan keempat aspek tersebut para siswa diharapkan mampu untuk membuat produk dengan memanfaatkan potensi dari alam sekitar. Perangkat pembelajaran dapat diartikan sebagai sejumlah bahan, alat, media, petunjuk dan. Anda bisa mendownload filenya disini.

Related Posts